公司:上海鋆锦信息科技有限公司
电 话:021-54268288
邮 箱:sales@iyunjin.com.cn
地址:上海市松江区莘砖公路518弄漕河泾开发区13号楼402室
菲涅尔区
菲涅尔区是在收发天线之间,由电波的直线路径与折线路径的行程差为nλ/2的折点(反射点)形成的、以收发天线位置为焦点,以直线路径为轴的椭球面。
形成原因
根据惠更斯一菲涅尔原理,在电波的传输过程中,波阵面上的每一点都是一个进行二次辐射的球面波的波源,这种波源称为二次波源。而空间任一点的辐射场都是由包围波面的任意封闭曲面上各点的二次波源发出的波在该点相互干涉、叠加的结果。显然,封闭曲面上各点的二次波源到达接收点的远近不同,这就使得接收点的信号场强的大小发生变化。

菲涅尔区是在收发天线之间,由电波的直线路径与折线路径的行程差为nλ/2的折点(反射点)形成的、以收发天线位置为焦点,以直线路径为轴的椭球面。其中n=1的区域是对信号作主要贡献的区域,称为第 一菲涅耳区,亦称有效区。
实际应用
由于菲涅尔区对信号起主要作用的是第 一菲涅尔区,所以在部署天线时(尤其是室外远距离传输),需要事先计算菲涅尔区的大小,保证被障碍物遮挡的菲涅尔区不超过总体的80%。如果传输距离过长,地球曲率对菲涅尔区的影响也要被考虑在内,这样才能保证无线信号的强度。
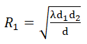
菲涅尔区计算

菲涅尔区的计算公式中,F1指菲涅尔区半径,λ指无线信号的波长,如2.4G信号波长为12.5cm,d1、d2分别指信号发射点与接收点到菲涅尔区椭球面中心的距离,d指发射点与接收点之间的距离。
由于椭球面中间的半径zui大,所以在实际计算中只需要考虑椭球中心的半径,上述的计算公式可以简化为

其中λ指无线信号波长,d指发射点与接收点之间的距离,下面罗列了一些频段的信号在某些常用距离的菲涅尔区半径。
